FrontPage

2009/10/06からのアクセス回数 9030

sageのnotebookをどう活用するか、試行錯誤した結果をお知らせします。 ここでご紹介するワークシートは、以下のURLでみることができます。

http://www.sagenb.org/pub/1029/

ワークシートの作成

最初にワークシートを作成します。

メモの挿入

右上の「Edit」タグをクリックすると、以下のような画面になります。

edit.jpg

{{{と}}}で囲まれた部分がsageの入力と出力部分です。

{{{id=0|

///
}}}

このsageの入力部分以外には、htmlタグを使ってHTMLの文章を挿入することができます。

<html>
<h3>ノートブックのメモ</h3>
ノートブックには、HTMLのhtmlタグで括ってメモを入力することができます。

右上の「Edit」タグをクリックしてsageの入出力部分({{{と}}}に囲まれている部分)以外
の部分にメモを入力します。

</html>

文中の式

HTMLのメモでは、文章中に$で囲んでlatexの式を挿入することができます。latexについては、 ここを参考にしました。

例えば、xの自乗の和を表すときには、

$\sum_{i = 1}^{n} x_{i}^{2}$

と入力すると、 eq1.jpg のように出力されます。

数式の表示

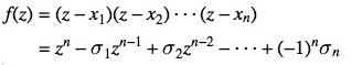
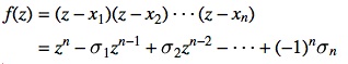
数式を表示する場合には、$の代わりに$$を使います。デフォルトでは数式が中央そろえになって出力されるので、spanタグのmathクラスを使って左そろえにします。

例えば、

<span class="math">
$$
\begin{eqnarray}
  f(z) &=& (z-x_1)(z-x_2) \cdots (z-x_n) \\
       &=& z^n - \sigma_1 z^{n-1} + \sigma_2 z^{n-2} - \cdots 
       + (-1)^n \sigma_n
\end{eqnarray}
$$
<span>

とすると、

eq2.jpg

となります。

コメントの挿入

ノートブックの入力部で#から行末までがコメントなります(pythonの文法)。 コメントには、日本語も使えます。

例)

# これは、コメントです。

コメント

選択肢 投票
おもしろかった 0  
そうでもない 0  
わかりずらい 0  

皆様のご意見、ご希望をお待ちしております。


トップ   新規 一覧 単語検索 最終更新   ヘルプ   最終更新のRSS
SmartDoc